Поділитися
- Telegram
- Viber
- Копіювати посилання
Графічний калькулятор Mathlab

ОС
Android
Категорія
Офісні
Розробник
Мова
Англійський, Російський
Дата оновлення
20 September 2017
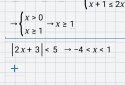
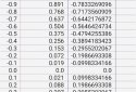
Graphing Calculator + Math - графічний калькулятор, який працює на всіх пристроях з ОС Андроїд, стане незамінним помічником у школі, коледжі, університеті. Завдяки вбудованим функціям, заснованим на алгебраїчних обчислень різної складності, вирішувати складні рівняння, нерівності, приклади, складати різні графіки не буде проблемою. Під час вписування значень виразу в рядок, калькулятор одразу ж видає його проміжний результат, показуючи, як в результаті вийде кінцевий. Це програма - відмінна альтернатива дорогим потужним інженерних калькуляторів.
Рейтинг додатку
Оцінка редакції
Оцінка 1 користувачів
8
Вимоги до v5.1.3.196
- Версія ОС: Android 4.0+
- Інтернет: не вимагається
- Потрібно вільного місця: 30 Mb
Скачати програмуГрафічний калькулятор Mathlab
v5.1.3.196 Pro
v4.12.150 Оригінал
До обраногоПідписатися на оновленняЗапросити оновлення











![[forgotten] How much is your life worth](https://pdacdn.com/photo/th_maxresdefault-1-_13.jpg)







Коментарі до Графічний калькулятор Mathlab на Андроїд
Щоб залишати коментарі,
будь ласка авторизуйтесь.